FotobusAutobusų transportas

Nuotraukos informacija

370 KB


Nuotraukos identifikatorius:2509447
Bylos dydis:370 KB
Autorius:Vovcikans
Publikuota:12.10.2020 01:22 MSK
Yra tinklapyje dienų:1930
Unikalių peržiūrų:198
Komentarų:0

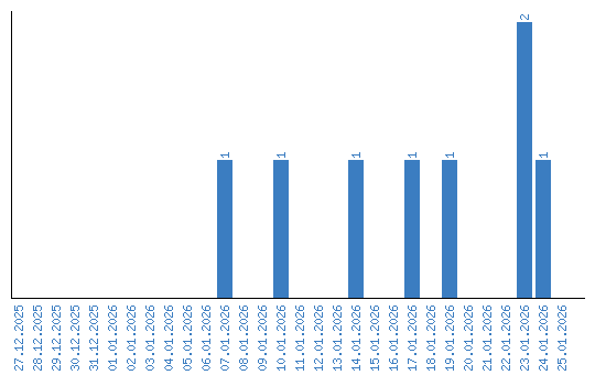
Peržiūrų dinamika pagal dienas