FotobusAutobusų transportas

Nuotraukos informacija

402 KB


Nuotraukos identifikatorius:2503450
Bylos dydis:402 KB
Autorius:beffan
Publikuota:03.10.2020 00:36 MSK
Yra tinklapyje dienų:1967
Unikalių peržiūrų:111
Komentarų:0

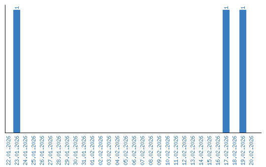
Peržiūrų dinamika pagal dienas