ФотобусАвтобусный транспорт

Информация об изображении

432 КБ


Идентификатор изображения:2494486
Размер файла:432 КБ
Автор:max48lip
Опубликовано:17.09.2020 23:32 MSK
Находится на сайте, дней:2027
Уникальных просмотров:345
Комментариев:0

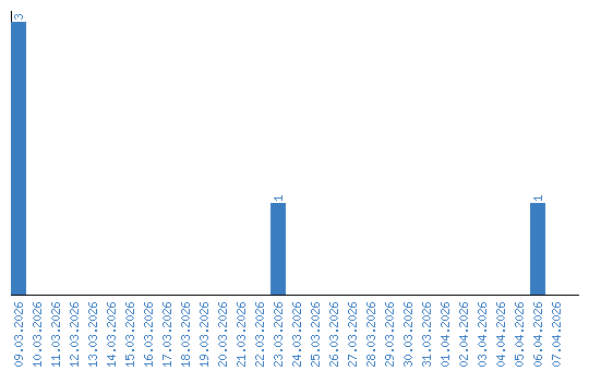
Динамика просмотров по датам