ФотобусАвтобусный транспорт

Информация об изображении

439 КБ


Идентификатор изображения:2491873
Размер файла:439 КБ
Автор:Rasim Ibragimov
Опубликовано:13.09.2020 20:34 MSK
Находится на сайте, дней:1953
Уникальных просмотров:414
Комментариев:0

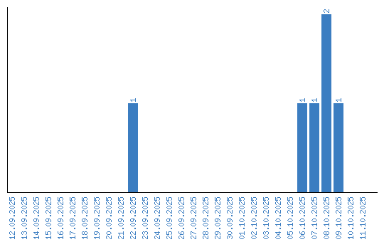
Динамика просмотров по датам