ФотобусАвтобусный транспорт

Информация об изображении

469 КБ


Идентификатор изображения:2489451
Размер файла:469 КБ
Автор:Rai
Опубликовано:09.09.2020 20:56 MSK
Находится на сайте, дней:1921
Уникальных просмотров:381
Комментариев:0

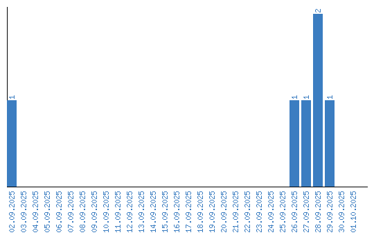
Динамика просмотров по датам