ФотобусАвтобусный транспорт

Информация об изображении

475 КБ


Идентификатор изображения:2488620
Размер файла:475 КБ
Автор:max48lip
Опубликовано:08.09.2020 02:12 MSK
Находится на сайте, дней:2011
Уникальных просмотров:849
Комментариев:3

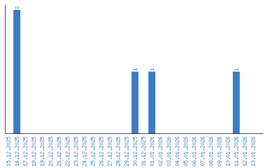
Динамика просмотров по датам