ФотобусАвтобусный транспорт

Информация об изображении

324 КБ


Идентификатор изображения:2483180
Размер файла:324 КБ
Автор:Ramirezz48
Опубликовано:29.08.2020 23:10 MSK
Находится на сайте, дней:2033
Уникальных просмотров:523
Комментариев:0

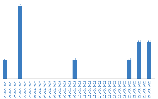
Динамика просмотров по датам