FotobusΜεταφορά με λεωφορείο

Picture Statistics

418 KB


Picture ID:2481850
File Size:418 KB
Συγγραφέας:Волк134rus
Publication Date:27.08.2020 22:51 MSK
Days in Database:1874
Unique views:407
Comments:1

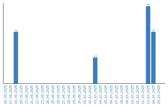
Viewing statistics by date