FotobusAutobusų transportas

Nuotraukos informacija

503 KB


Nuotraukos identifikatorius:2475187
Bylos dydis:503 KB
Autorius:Sender
Publikuota:17.08.2020 16:08 MSK
Yra tinklapyje dienų:2043
Unikalių peržiūrų:329
Komentarų:2

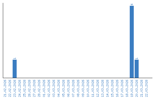
Peržiūrų dinamika pagal dienas