ФотобусАвтобусный транспорт

Информация об изображении

332 КБ


Идентификатор изображения:2473678
Размер файла:332 КБ
Автор:266-60
Опубликовано:15.08.2020 23:32 MSK
Находится на сайте, дней:2070
Уникальных просмотров:486
Комментариев:0

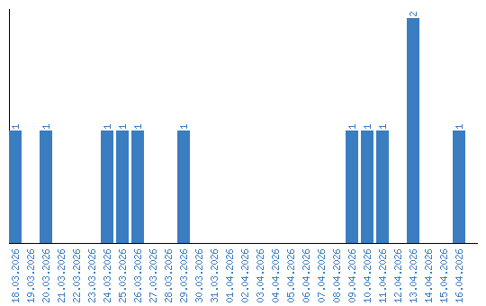
Динамика просмотров по датам