FotobusAutobusa transports

Informācija par attēli

478 KB


Attēla identifikātors:2465111
Faila lielums:478 KB
Autors:Valius Kedainietis
Ir publicēts:02.08.2020 06:49 MSK
Atrodas vietnē, dienās:2107
Unikāli skatījumi:345
Komentārus:0

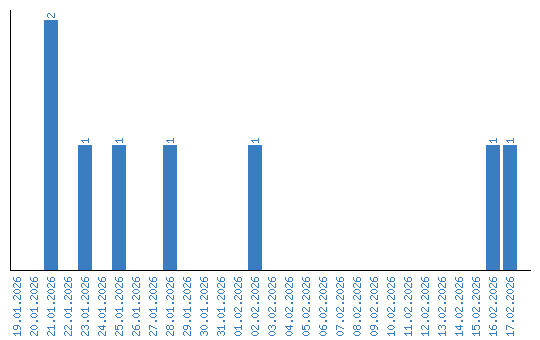
Dinamika skatišana pēc datuma