ФотобусАвтобусный транспорт

Информация об изображении

438 КБ


Идентификатор изображения:2463010
Размер файла:438 КБ
Автор:Владичка
Опубликовано:30.07.2020 05:41 MSK
Находится на сайте, дней:2087
Уникальных просмотров:327
Комментариев:0

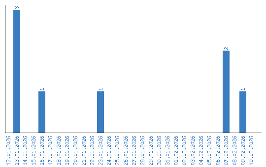
Динамика просмотров по датам