ФотобусАвтобусный транспорт

Информация об изображении

347 КБ


Идентификатор изображения:2461246
Размер файла:347 КБ
Автор:Родион_Любитель_Маршруток
Опубликовано:27.07.2020 14:25 MSK
Находится на сайте, дней:2000
Уникальных просмотров:324
Комментариев:0

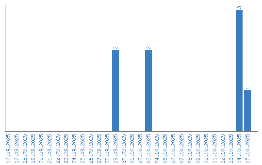
Динамика просмотров по датам