FotobusAutobusų transportas

Nuotraukos informacija

472 KB


Nuotraukos identifikatorius:2460009
Bylos dydis:472 KB
Autorius:Ян Мухтаров
Publikuota:26.07.2020 00:15 MSK
Yra tinklapyje dienų:1940
Unikalių peržiūrų:258
Komentarų:0

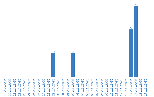
Peržiūrų dinamika pagal dienas