ФотобусАвтобусний транспорт

Статистика по зображенню

485 КБ


Ідентифікатор зображення:2457629
Розмір файлу:485 КБ
Автор:Rai
Опубліковано:22.07.2020 12:26 MSK
Знаходиться на сайті, днів:1899
Унікальних переглядів:232
Коментарів:0

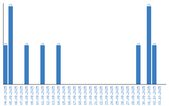
Динаміка переглядів за датами