ФотобусАвтобусный транспорт

Информация об изображении

480 КБ


Идентификатор изображения:2456470
Размер файла:480 КБ
Автор:alextown
Опубликовано:20.07.2020 15:59 MSK
Находится на сайте, дней:2043
Уникальных просмотров:351
Комментариев:1

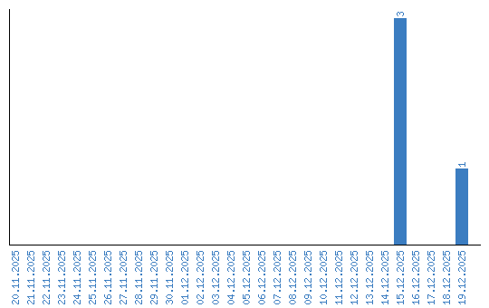
Динамика просмотров по датам