ФотобусАвтобусный транспорт

Информация об изображении

438 КБ


Идентификатор изображения:2456077
Размер файла:438 КБ
Автор:KievskiyMA3
Опубликовано:19.07.2020 21:45 MSK
Находится на сайте, дней:2006
Уникальных просмотров:483
Комментариев:0

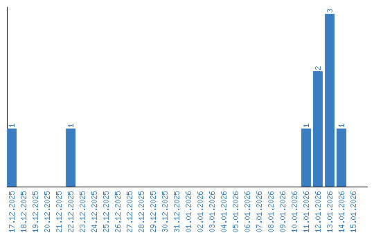
Динамика просмотров по датам