ФотобусАвтобусный транспорт

Информация об изображении

267 КБ


Идентификатор изображения:2455926
Размер файла:267 КБ
Автор:straightcelle
Опубликовано:19.07.2020 18:03 MSK
Находится на сайте, дней:2123
Уникальных просмотров:438
Комментариев:0

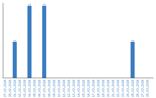
Динамика просмотров по датам