ФотабусАўтобусны транспарт

Iнфармацыя аб малюнку

468 КБ


Ідэнтыфікатар малюнка:2454284
Памер файла:468 КБ
Аўтар:Еж3
Апублікавана:17.07.2020 01:04 MSK
Знаходзіцца на сайце, дзён:2016
Унікальных праглядаў:280
Каментарыяў:0

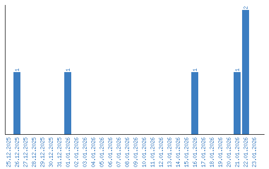
Дынаміка праглядаў па датах