ФотобусАвтобусный транспорт

Информация об изображении

333 КБ


Идентификатор изображения:2452095
Размер файла:333 КБ
Автор:Erz
Опубликовано:13.07.2020 21:33 MSK
Находится на сайте, дней:2076
Уникальных просмотров:394
Комментариев:0

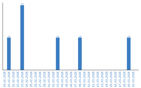
Динамика просмотров по датам