FotobusBusverkehr

Bildinformationen

299 KB


Foto-ID:2450915
Dateigröße:299 KB
Aufgenommen von:LIS
Veröffentlicht am:11.07.2020 23:02 MSK
Tage seit Veröffentlichung:2095
Aufrufe:459
Kommentare:0

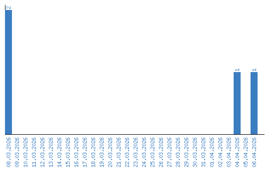
Aufrufestatistik (Tage)