ФотобусАвтобусный транспорт

Информация об изображении

500 КБ


Идентификатор изображения:2450390
Размер файла:500 КБ
Автор:VitalikTTL
Опубликовано:11.07.2020 10:12 MSK
Находится на сайте, дней:2075
Уникальных просмотров:659
Комментариев:0

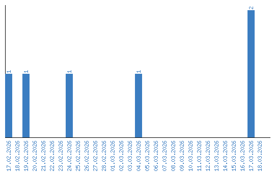
Динамика просмотров по датам