ФотобусАвтобусный транспорт

Информация об изображении

328 КБ


Идентификатор изображения:2443498
Размер файла:328 КБ
Автор:Денис Жарков
Опубликовано:30.06.2020 23:48 MSK
Находится на сайте, дней:2056
Уникальных просмотров:500
Комментариев:0

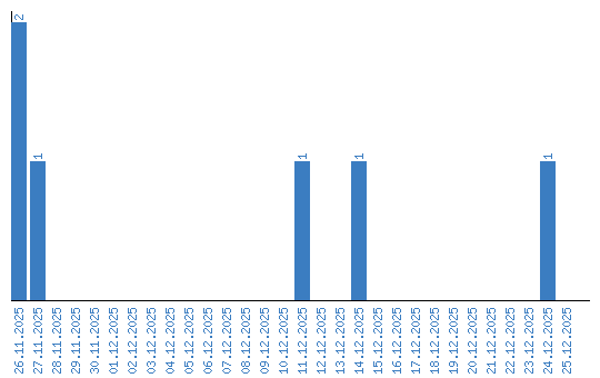
Динамика просмотров по датам