FotobusBusverkehr

Bildinformationen

499 KB


Foto-ID:2442130
Dateigröße:499 KB
Aufgenommen von:MAXMASTER
Veröffentlicht am:29.06.2020 01:01 MSK
Tage seit Veröffentlichung:2072
Aufrufe:363
Kommentare:0

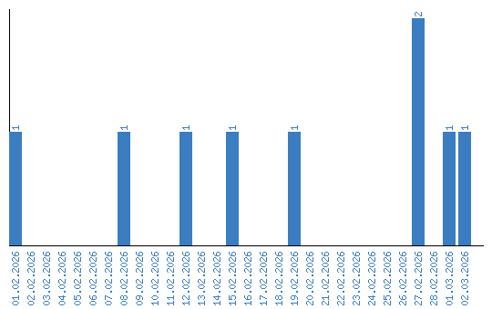
Aufrufestatistik (Tage)