ФотобусАвтобусный транспорт

Информация об изображении

500 КБ


Идентификатор изображения:2439854
Размер файла:500 КБ
Автор:rytis001
Опубликовано:25.06.2020 17:01 MSK
Находится на сайте, дней:2031
Уникальных просмотров:248
Комментариев:0

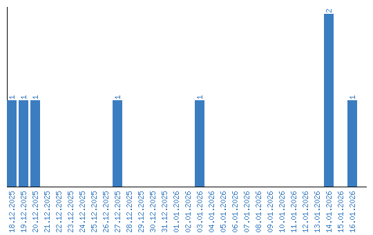
Динамика просмотров по датам