FotobusΜεταφορά με λεωφορείο

Picture Statistics

94 KB


Picture ID:243833
File Size:94 KB
Συγγραφέας:Лайонел
Publication Date:06.04.2010 07:30 MSK
Days in Database:5714
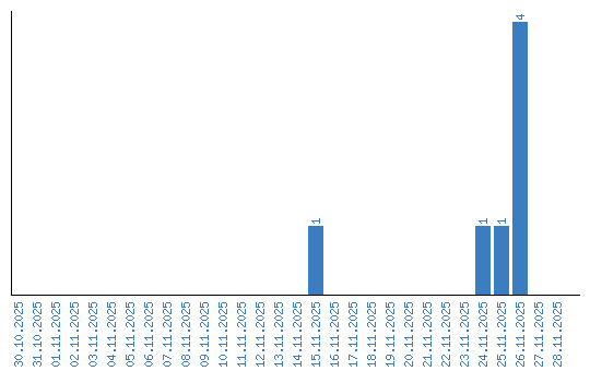
Unique views:342
Comments:0

Viewing statistics by date