ФотобусАвтобусный транспорт

Информация об изображении

442 КБ


Идентификатор изображения:2431132
Размер файла:442 КБ
Автор:vadya
Опубликовано:11.06.2020 10:40 MSK
Находится на сайте, дней:1973
Уникальных просмотров:241
Комментариев:0

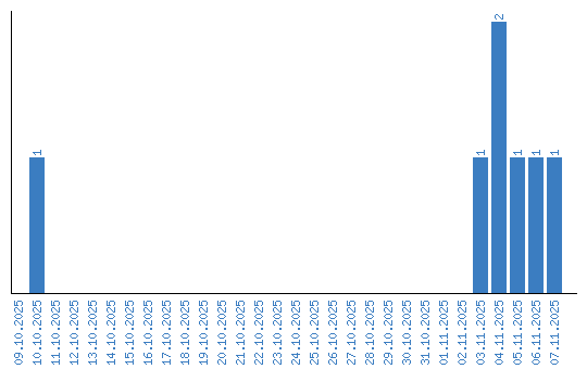
Динамика просмотров по датам