ФотабусАўтобусны транспарт

Iнфармацыя аб малюнку

485 КБ


Ідэнтыфікатар малюнка:2421242
Памер файла:485 КБ
Даслаў:boris2k
Апублікавана:26.05.2020 20:29 MSK
Знаходзіцца на сайце, дзён:2096
Унікальных праглядаў:810
Каментарыяў:1

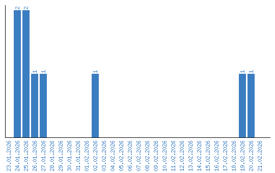
Дынаміка праглядаў па датах