ФотобусАвтобустар галереясы

Информация об изображении

422 КБ


Идентификатор изображения:2419115
Размер файла:422 КБ
Автор:Саня Юрчук
Опубликовано:23.05.2020 12:59 MSK
Находится на сайте, дней:2113
Уникальных просмотров:391
Комментариев:0

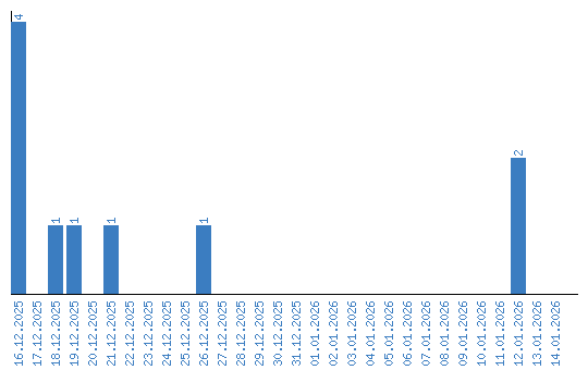
Динамика просмотров по датам