ФотобусАвтобустар галереясы

Информация об изображении

356 КБ


Идентификатор изображения:2412902
Размер файла:356 КБ
Автор:ariss_ka
Опубликовано:12.05.2020 22:08 MSK
Находится на сайте, дней:2013
Уникальных просмотров:144
Комментариев:0

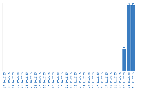
Динамика просмотров по датам