FotobusBusverkehr

Bildinformationen

477 KB


Foto-ID:2411302
Dateigröße:477 KB
Aufgenommen von:Илья С.
Veröffentlicht am:09.05.2020 21:00 MSK
Tage seit Veröffentlichung:2007
Aufrufe:227
Kommentare:0

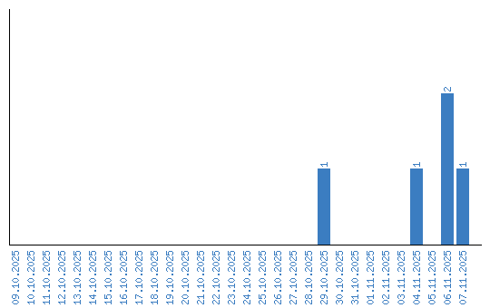
Aufrufestatistik (Tage)