ФотобусАвтобусный транспорт

Информация об изображении

414 КБ


Идентификатор изображения:2410854
Размер файла:414 КБ
Автор:BOSS
Опубликовано:08.05.2020 22:09 MSK
Находится на сайте, дней:2081
Уникальных просмотров:290
Комментариев:0

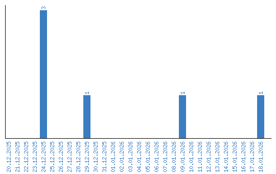
Динамика просмотров по датам