ФотобусАвтобусный транспорт

Информация об изображении

270 КБ


Идентификатор изображения:2404425
Размер файла:270 КБ
Автор:САНЁК 76 RUS
Опубликовано:27.04.2020 17:28 MSK
Находится на сайте, дней:2031
Уникальных просмотров:396
Комментариев:0

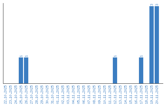
Динамика просмотров по датам