ФотобусАвтобусный транспорт

Информация об изображении

491 КБ


Идентификатор изображения:2393528
Размер файла:491 КБ
Автор:aaphaas
Опубликовано:09.04.2020 22:23 MSK
Находится на сайте, дней:2091
Уникальных просмотров:315
Комментариев:0

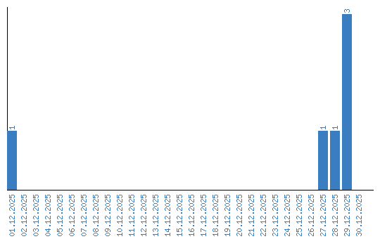
Динамика просмотров по датам