ФотобусАвтобусный транспорт

Информация об изображении

489 КБ


Идентификатор изображения:2393355
Размер файла:489 КБ
Автор:Kimster
Опубликовано:09.04.2020 18:25 MSK
Находится на сайте, дней:2226
Уникальных просмотров:439
Комментариев:0

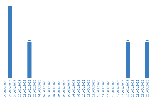
Динамика просмотров по датам