ФотобусАвтобусный транспорт

Информация об изображении

433 КБ


Идентификатор изображения:2386267
Размер файла:433 КБ
Автор:Mettal
Опубликовано:29.03.2020 14:22 MSK
Находится на сайте, дней:2149
Уникальных просмотров:219
Комментариев:0

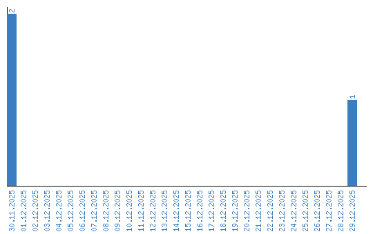
Динамика просмотров по датам