FotobusAutobusų transportas

Nuotraukos informacija

484 KB


Nuotraukos identifikatorius:2381041
Bylos dydis:484 KB
Autorius:АндрейС
Publikuota:19.03.2020 01:15 MSK
Yra tinklapyje dienų:2220
Unikalių peržiūrų:386
Komentarų:0

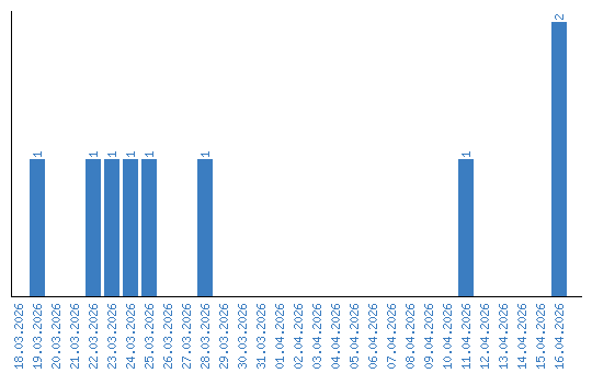
Peržiūrų dinamika pagal dienas