ФотобусАвтобусный транспорт

Информация об изображении

499 КБ


Идентификатор изображения:2375234
Размер файла:499 КБ
Автор:Олег Довгалюк
Опубликовано:08.03.2020 21:02 MSK
Находится на сайте, дней:2073
Уникальных просмотров:475
Комментариев:0

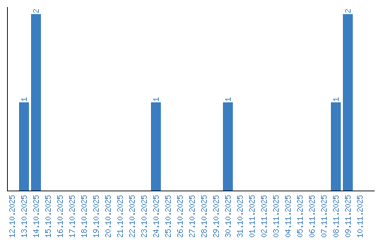
Динамика просмотров по датам