ФотобусАвтобусный транспорт

Информация об изображении

219 КБ


Идентификатор изображения:237174
Размер файла:219 КБ
Автор:Lexrudz
Опубликовано:20.03.2010 19:00 MSK
Находится на сайте, дней:5840
Уникальных просмотров:537
Комментариев:0

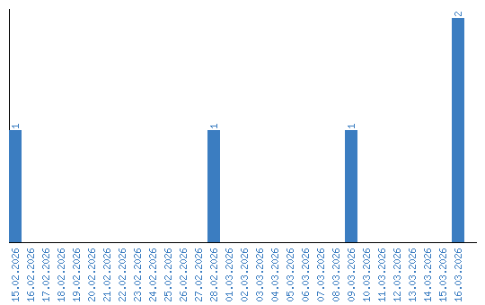
Динамика просмотров по датам