ФотобусАвтобусный транспорт

Информация об изображении

209 КБ


Идентификатор изображения:236719
Размер файла:209 КБ
Автор:ALX
Опубликовано:19.03.2010 11:46 MSK
Находится на сайте, дней:5847
Уникальных просмотров:178
Комментариев:0

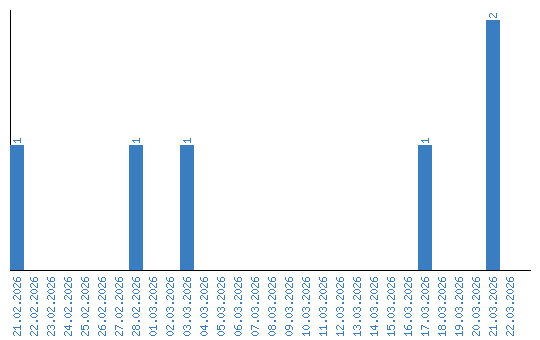
Динамика просмотров по датам