FotobusAutobusų transportas

Nuotraukos informacija

376 KB


Nuotraukos identifikatorius:2356823
Bylos dydis:376 KB
Autorius:SavA
Publikuota:07.02.2020 23:21 MSK
Yra tinklapyje dienų:2218
Unikalių peržiūrų:398
Komentarų:0

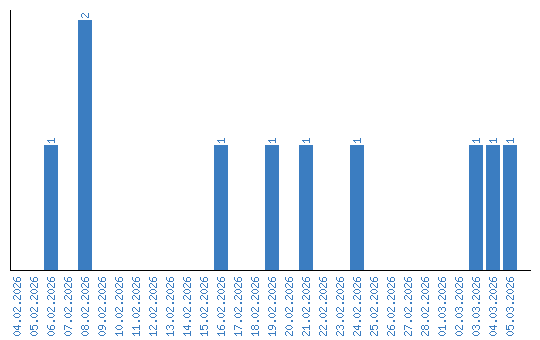
Peržiūrų dinamika pagal dienas