FotobusAutobusų transportas

Nuotraukos informacija

419 KB


Nuotraukos identifikatorius:2353058
Bylos dydis:419 KB
Autorius:K.R
Publikuota:01.02.2020 23:57 MSK
Yra tinklapyje dienų:2174
Unikalių peržiūrų:312
Komentarų:0

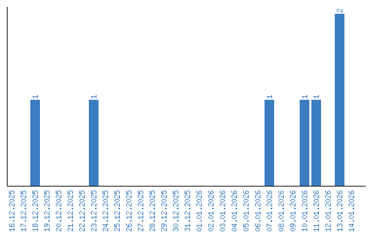
Peržiūrų dinamika pagal dienas