ФотабусАўтобусны транспарт

Iнфармацыя аб малюнку

478 КБ


Ідэнтыфікатар малюнка:2351372
Памер файла:478 КБ
Аўтар:rvr
Апублікавана:30.01.2020 21:52 MSK
Знаходзіцца на сайце, дзён:2256
Унікальных праглядаў:229
Каментарыяў:0

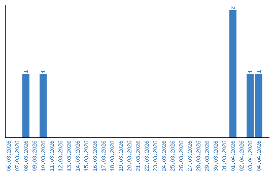
Дынаміка праглядаў па датах