ФотабусАўтобусны транспарт

Iнфармацыя аб малюнку

298 КБ


Ідэнтыфікатар малюнка:2339205
Памер файла:298 КБ
Аўтар:aleksey
Апублікавана:23.12.2019 22:46 MSK
Знаходзіцца на сайце, дзён:2263
Унікальных праглядаў:227
Каментарыяў:0

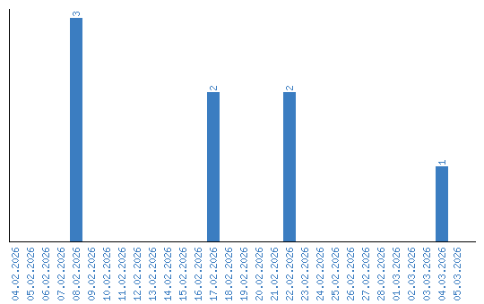
Дынаміка праглядаў па датах