FotobusΜεταφορά με λεωφορείο

Picture Statistics

421 KB


Picture ID:2338665
File Size:421 KB
Συγγραφέας:ariss_ka
Publication Date:22.12.2019 19:29 MSK
Days in Database:2289
Unique views:209
Comments:0

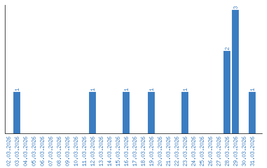
Viewing statistics by date