ФотобусАвтобусный транспорт

Информация об изображении

227 КБ


Идентификатор изображения:233735
Размер файла:227 КБ
Автор:Ifa42
Опубликовано:11.03.2010 13:43 MSK
Находится на сайте, дней:5850
Уникальных просмотров:1349
Комментариев:7

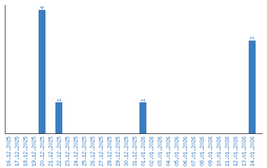
Динамика просмотров по датам