FotobusBusverkehr

Bildinformationen

495 KB


Foto-ID:2331520
Dateigröße:495 KB
Aufgenommen von:scaumedes
Veröffentlicht am:06.12.2019 01:26 MSK
Tage seit Veröffentlichung:2312
Aufrufe:698
Kommentare:0

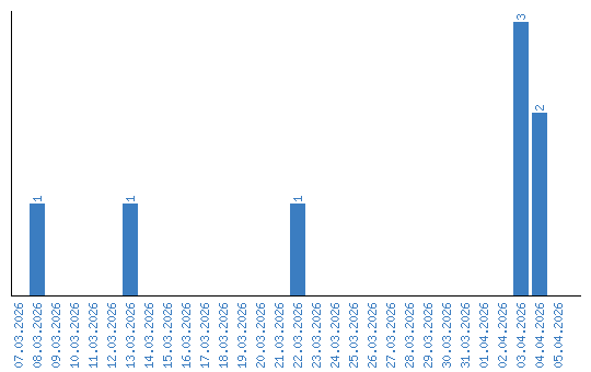
Aufrufestatistik (Tage)