FotobusΜεταφορά με λεωφορείο

Picture Statistics

298 KB


Picture ID:2321531
File Size:298 KB
Συγγραφέας:Андрей SIBIR
Publication Date:16.11.2019 18:14 MSK
Days in Database:2168
Unique views:458
Comments:0

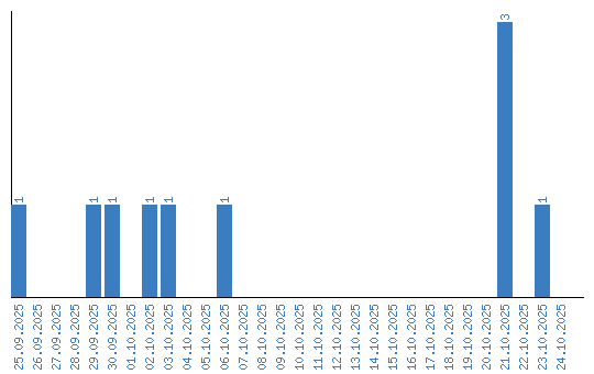
Viewing statistics by date