ФотобусАвтобусный транспорт

Информация об изображении

214 КБ


Идентификатор изображения:2317011
Размер файла:214 КБ
Автор:olegp
Опубликовано:07.11.2019 19:20 MSK
Находится на сайте, дней:2313
Уникальных просмотров:222
Комментариев:0

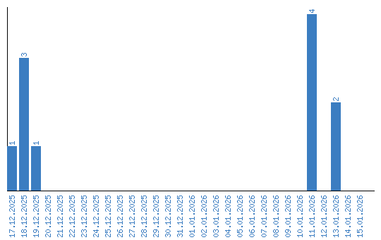
Динамика просмотров по датам