ФотобусАвтобусный транспорт

Информация об изображении

290 КБ


Идентификатор изображения:2315068
Размер файла:290 КБ
Автор:ariss_ka
Опубликовано:04.11.2019 09:34 MSK
Находится на сайте, дней:2297
Уникальных просмотров:305
Комментариев:0

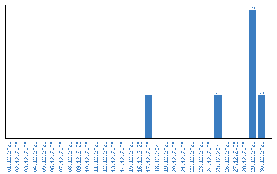
Динамика просмотров по датам